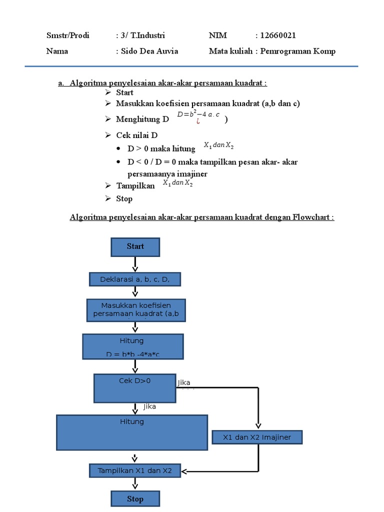
Flowchart Akar Persamaan Kuadrat

Flowchart Akar Persamaan Kuadrat. Berikut ini adalah contoh flowchart untuk mencetak bentuk p^2 + q^2, dimana nilai p dan q merupakan akar dari persamaan kuadrat ax^2 + bx + c = 0. Sistem persamaan linear dua variabel.

Smstr
Smstr from imgv2-2-f.scribdassets.com
Diantaranya yaitu faktorisasi, kuadrat sempurna, dan menggunakan rumus abc. D < 0 merupakan bilangan tidak real (imajiner), maka persamaan kuadrat tidak mempunyai akar real atau persamaan kuadrat. Biar lebih jelas, yuk nonton videonya berikut.

Berikut ini adalah contoh flowchart untuk mencetak bentuk p^2 + q^2, dimana nilai p dan q merupakan akar dari persamaan kuadrat ax^2 + bx + c = 0.

Soal ini mirip dengan bentuk kuadrat sempurna yang sudah kita kenal pada pendahuluan di atas yaitu x 2 + 6x + 9. Bentuk umum persamaan kuadrat ax2 + bx + c = 0, a tidak sama dengan 0. Sistem persamaan linear tiga variabel. Akar persamaan kuadrat ax2 + bx + c = 0 adalah nilai x yang memenuhi persamaan kuadrat tersebut.


Komentar

Postingan populer dari blog ini

Persamaan Dan Fungsi Kuadrat Kelas 10 Semester 2

Nilai Optimum Persamaan Kuadrat

Matematika Grafik Fungsi Kuadrat